服务热线
021-60498804
产品中心
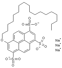
/ Products Classification 点击展开+| Cat. Number | 818892101107214 |
| Chemical Name | 8-Octadecyloxypyrene-1,3,6-trisulfonic acid trisodium salt |
| CAS Number | 111024-84-1 |
| Mol. Formula | C34H43O10S3.3Na |
| Mol. Weight | 776.87 |
| Qty 1 |
1mg |
| Qty 2 | 2mg |




