服务热线
021-60498804
产品中心
/ Products Classification 点击展开+| Cat. Number | 143533455494942 |
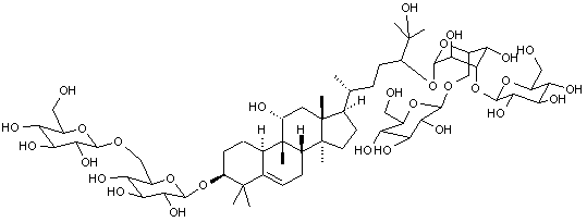
| Chemical Name | 罗汉果苷 Mogroside V 88901-36-4 5mg/10mg |
| CAS Number | 88901-36-4 |
| Mol. Formula | C60H102O29 |
| Mol. Weight | 1287.43 |
| Qty 1 |
5mg |
| Qty 2 | 10mg |




