服务热线
021-60498804
产品中心
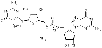
/ Products Classification 点击展开+| Cat. Number | 520958682793287 |
| Chemical Name | Guanylyl-3',5'-guanosine ammonium salt |
| CAS Number | 974038-77-7 |
| Mol. Formula | C20H25N10O12P.H3N |
| Mol. Weight | 645.48 |




