服务热线
021-60498804
产品中心
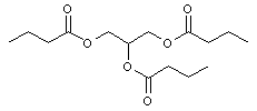
/ Products Classification 点击展开+| Cat. Number | 520633275746372 |
| Chemical Name | Glycerol tributyrate |
| CAS Number | 60-01-5 |
| Mol. Formula | C15H26O6 |
| Mol. Weight | 302.36 |
| Qty 1 |
250g |
| Qty 2 | 500g |




