服务热线
021-60498804
产品中心
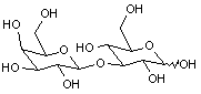
/ Products Classification 点击展开+| Cat. Number | 518672608912296 |
| Chemical Name | 3-O-(b-D-Galactopyranosyl)-D-glucopyranose |
| Mol. Formula | C12H22O11 |
| Mol. Weight | 342.30 |
| Qty 1 |
1mg |
| Qty 2 | 2mg |




