服务热线
021-60498804
产品中心
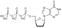
/ Products Classification 点击展开+| Cat. Number | 432174374582538 |
| Chemical Name | 2',3'-Dideoxyinosine-5'-triphosphate sodium salt |
| Mol. Formula | C10H15N4O12P3 |
| Mol. Weight | 476.17 |
| Qty 1 |
1mg |
| Qty 2 | 2mg |




