服务热线
021-60498804
产品中心
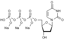
/ Products Classification 点击展开+| Cat. Number | 273419907033585 |
| Chemical Name | 2'-Deoxyuridine-5'-triphosphate sodium salt |
| CAS Number | 102814-08-4 |
| Mol. Formula | C9H12N2O14P3.3Na |
| Mol. Weight | 534.09 |




