服务热线
021-60498804
产品中心
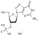
/ Products Classification 点击展开+| Cat. Number | 273272395964206 |
| Chemical Name | 2'-Deoxyguanosine 3'-monophosphate sodium salt |
| CAS Number | 102814-03-9 |
| Mol. Formula | C10H14N5O7P.xNa |
| Mol. Weight | 347.22 |
| Qty 1 |
250mg |
| Qty 2 | 500mg |




