服务热线
021-60498804
产品中心
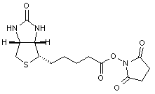
/ Products Classification 点击展开+| Cat. Number | 568799986658365 |
| Chemical Name | Biotin succinimidyl ester |
| CAS Number | 35013-72-0 |
| Mol. Formula | C14H19N3O5S |
| Mol. Weight | 341.38 |
| Qty 1 |
250mg |
| Qty 2 | 500mg |




