服务热线
021-60498804
产品中心
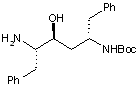
/ Products Classification 点击展开+| Cat. Number | 565626176975894 |
| Chemical Name | BDH pure salt |
| CAS Number | 144163-85-9 |
| Mol. Formula | C23H32N2O3 |
| Mol. Weight | 384.51 |
| Qty 1 |
250g |
| Qty 2 | 500g |




