服务热线
021-60498804
产品中心
/ Products Classification 点击展开+
| Cat. Number | 733977396983540 |
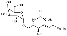
| Chemical Name | α-Galactosyl-C16-ceramide |
| CAS Number | 34324-89-5 |
| Category | Standards; Amino Acids; Enzyme Activators and Inhibitors; |
| Mol. Formula | C40H77NO8 |
| Mol. Weight | 700.04 |
| Qty 1 |
1mg |
| Qty 2 | 10mg |
| Appearance | White Solid |
| Application Notes | Galactosylceramides play an important roles in promoting the regulation of nerve cells, regulating protein kinase C activities and modulating the function of the hormone receptor. It has shown to have significant immunostimulatory and anti-umor activity in mice with liver metastasis of the Colon26 adenocarcinoma. |
| Synonym | GalCer; N-[(1S,2R,3E)-1-[(β-D-Dalactopyranosyloxy)methyl]-2-hydroxy-3-heptadecen-1-yl]hexadecanamide; |
| Melting Pt. | 145-163ºC |
| Solubility | DMSO (Slightly), Methanol (Slightly) |
| Storage condition | -20°C |
| References |
Morita, M., et al.: J. Med. Chem., 38, 2176 (1995), |




