服务热线:13917250134「同微信」
网站首页
公司介绍
产品服务
技术资料
企业动态
在线反馈
联系我们
产品
CAS
synonym
您的位置:
首页
>>
分析化学
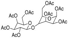
>>4-O-β-Galactopyranosyl-D-mannopyrase-octaacetate
产品中心
/ Products Classification
点击展开+
生命科学
CRISPR系列
细胞因子
细胞培养
抗原/抗体
酶与辅酶
酶底物及色原
HTRF检测试剂
等温扩增/PCR扩增
核酸相关试剂
电泳试剂
微生物培养
分析化学
人乳寡糖标准品
麦芽寡糖标准品
单糖标准品
其他寡糖/多糖标准品
类胡萝卜素标准品
脂类分析标准品
转基因标准品
花青素标准品
维生素标准品
食品分析标准品
甾醇类标准品
天然提取物标准品
药物分析标准品
国家标准物
EP/USP/BP标准品
核苷和核苷酸标准品
聚合物标准品
试剂盒
糖科学
kg级糖原料
人乳寡糖
化学修饰糖
血型寡糖
糖苷表面活性剂
糖核苷酸
糖苷底物
糖工具酶
糖蛋白
糖脂
糖肽
碳水化合物
生化试剂
PEG衍生物
微球
蛋白质
生物染料/指示剂/色素
动物造模试剂
蛋白保护剂/抑制剂
消泡剂/乳化剂/除垢剂
脂质/脂质体
氨基酸/维生素
小分子化合物
核苷和核苷酸
信号转导
即用型试剂
其他生化试剂
仪器耗材
制冷设备
层流产品
干燥设备
分离/纯化/浓缩
培养设备
移液/分液
细胞分析
蛋白分析
核酸分析
微生物监测
色谱仪及耗材
实验室仪器
通用耗材
Cat. Number
733977304564529
Chemical Name
4-O-β-Galactopyranosyl-D-mannopyrase-octaacetate
Category
Oligosaccharides
Mol. Formula
C28H38O19
Mol. Weight
678.59
Qty 1
100mg
Qty 2
1g
Appearance
White Solid
下一个:
G154880
上一个:
G154750
在线咨询
联系方式
二维码
服务热线
021-60498804
扫一扫,关注我们