服务热线
021-60498804
产品中心
/ Products Classification 点击展开+
| Cat. Number | 733977662317178 |
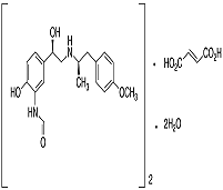
| Chemical Name | Formoterol Fumarate Dihydrate |
| CAS Number | 183814-30-4 |
| Category | Aromatics, Chiral Reagents, Pharmaceuticals, Intermediates & Fine Chemicals, |
| Mol. Formula | C42H56N4O14 |
| Mol. Weight | 840.91 |
| Qty 1 |
25mg |
| Qty 2 | 250mg |
| Appearance | Pale Yellow Solid |
| Application Notes | A selective β2-adrenergic receptor agonist. Used as an antiasthmatic. |
| Synonym | rel-N-[2-Hydroxy-5-[(1R)-1-hydroxy-2-[[(1R)-2-(4-methoxyphenyl)-1-methylethyl]amino]ethyl]phenyl]formamide Fumarate Dihydrate; Atock; Foradil; Oxeze; BD 40A; CGP 25827A; |
| Melting Pt. | 116-120°C |
| Solubility | Methanol, Water |
| Storage condition | -20°C Freezer |
| References |
Yoshida, T., et al.: Pharmacometrics, 26, 811 (1983), |




