服务热线
021-60498804
产品中心
/ Products Classification 点击展开+| Cat. Number | 733973329656140 |
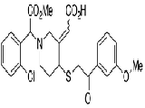
| Chemical Name | rac Clopidogrel-13C,d3 Hydrogen Sulfate |
| Category | Aromatics, Isotope Labelled Compounds, Pharmaceuticals, Intermediates & Fine Chemicals, Sulfur & Selenium Compounds |
| Mol. Formula | C1513CH15D3ClNO6S2 |
| Mol. Weight | 423.91 |
| Qty 1 |
5mg |
| Qty 2 | 50mg |
| Application Notes | Labelled Clopridogrel, an antithrombotic. |
| Synonym | α-(2-Chlorophenyl-d4)-6,7-dihydro- thieno[3,2-c]pyridine-5(4H)-acetic Acid Methyl Ester-13C,d3 Sulfate; (+/-)-Clopidogrel-13C,d3 Bisulfate; |
| References | Mills, D.C.B., et al.: Arterioscler. Thromb., 12, 430 (1992), Feuerstein, G., et al.: Exp. Opin. Invest. Drugs, 4, 425 (1995) |




